Αρχική | Ειδήσεις - Αναλύσεις | Ο Κυνηγός | Λεωφόρος Αθηνών | "Κουλου - Βάχατα" | Marx - Soros | Contact

   

 

Λεωφόρος Αθηνών +

Καθημερινά Σχόλια για τo ελληνικό χρηματιστήριο και τις αγορές...

Επικοινωνήστε μαζί μας μέσω της Φόρμας Επικοινωνίας του GFF

 

-

 

 
 

00:01 - 05/06/18

 

Άμεσα υψηλότερα των 800 – 810 μονάδων

Δε χρειάζεται να γράψουμε πολλά για τη χθεσινή συνεδρίαση, δε χρειάζεται γενικά να γράψουμε πολλά για μια συνεδρίαση με τζίρο λίγο πάνω από τα 30εκ ευρώ. Εμείς το μόνο που θα πούμε είναι πως η αγορά δεν πρέπει να μείνει μεγάλο χρονικό διάστημα χαμηλότερα των 800 – 810 μονάδων. Και αυτό γιατί σε διαφορετική περίπτωση, σύντομα η αγορά θα κινηθεί χαμηλότερα, με κίνδυνο την επόμενη φορά να δούμε ακόμη χαμηλότερα επίπεδα από τα πρόσφατα χαμηλά.

 

 

 
 
 

Απαιτείται θετική είδηση

Και για να αποφευχθούν τα όσα αναφέρουμε παραπάνω, τι χρειάζεται η αγορά; Μα φυσικά μια αρκετά θετική είδηση η οποία θα ταρακουνήσει το κλίμα, δίνοντας ώθηση, με την αγορά να κάνει την υπέρβαση, δηλαδή για αρχή να επιστρέψει υψηλότερα των 800 – 810 μονάδων. Θυμίζουμε πως όσο η αγορά μένει χαμηλότερα των προαναφερθέντων επιπέδων, ανά πάσα στιγμή τα σύννεφα μπορεί να επιστρέψουν και να κινδυνεύσουν την επόμενη φορά να χαθούν οι στηρίξεις στα επίπεδα των 750 και κυρίως οι στηρίξεις στις 730 – 735 μονάδες, σε σχέση φυσικά με τα όσα γράψαμε παραπάνω. Και θέλουμε να ελπίζουμε πως η αγορά σύντομα θα αρχίσει να προεξοφλεί κάποιες θετικές ειδήσεις για το τέλος Ιουνίου, οι οποίοι θέλουμε να ελπίζουμε πως θα έλθουν.

 
 
 


Jumbo

Νέα αντίδραση χθες για το Jumbo και κλείσιμο στα 14,38 ευρώ (+1,70%) …. Και θα λέγαμε πως κάπου εδώ θα φανεί αν η τελευταία αντίδραση ήταν απλώς μι τεχνική αντίδραση από την πρόσφατη πτώση ή κάτι περισσότερο. Ειδικότερα, οι στόχο είναι οι πολύ ισχυρές αντιστάσεις στα 14,50 ευρώ και εν συνεχεία οι αντιστάσεις στα επίπεδα των 14,80 – 14,90 ευρώ, αντιστάσεις μεγάλης σημασίας για τη συνέχεια. Όσο η μετοχή μένει χαμηλότερα αυτών των επιπέδων, η εικόνα μπορεί ανά πάσα στιγμή να φύγει χαμηλότερα, με κίνδυνο να μιλήσουμε για επίπεδα χαμηλότερα των πρόσφατων χαμηλών, χαμηλότερα των 13,00 ευρώ. 

 

 
 
 

 

Intercontinental International Α.Ε.Ε.Α.Π.

 

«Κομμένη» θα είναι σήμερα η Intercontinental International (ΙΝΤΕΡΚΟ), με το ύψος του καθαρού μερίσματος να είναι 0,31 ευρώ (δηλαδή μια εξαιρετική καθαρή απόδοση 5,6%). Σε γενικές γραμμές θα λέγαμε πως η εισηγμένη στα 57,8εκ ευρώ δεν είναι ακριβή, με μια ελκυστική μερισματική απόδοση και ένα eP/E Ratio 9-10χ (εξαιρουμένων των εκτάκτων αποτελεσμάτων – η εταιρεία διατηρεί ένα μεγάλο ποσό σε καταθέσεις στις ΗΠΑ, κάτι το οποίο την καθιστά ευμετάβλητη στις συναλλαγματικές ισοτιμίες – πάντως λόγω της τελευταίας ανατίμησης του δολαρίου, το πρώτο εξάμηνο αναμένεται να είναι καλό).  Πρόβλημα φυσικά η εμπορευσιμότητα της μετοχής, αλλά σε κάθε περίπτωση είναι μια περίπτωση που παρακολουθούμε, ειδικά αν κάποιος πιστεύει την ελληνική αγορά ακινήτων.

 
 
 

 

Ελληνική Οικονομία

 

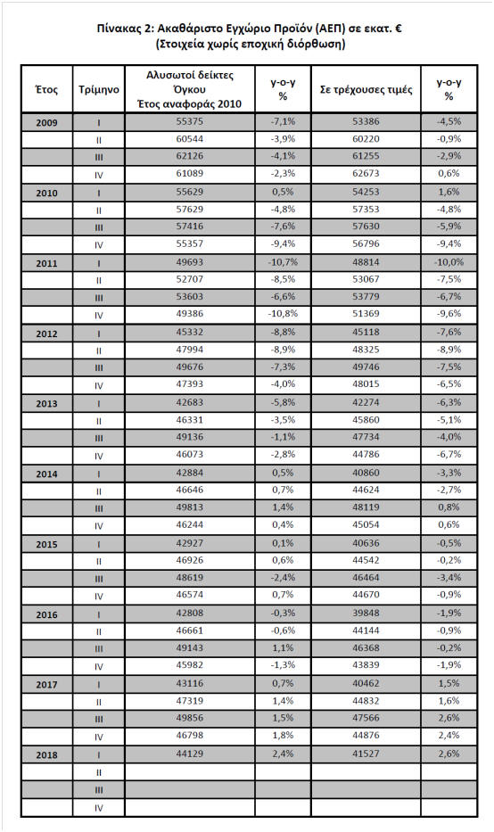
Και κλείνοντας με ένα διαφορετικό σχόλιο, με φόντο τις χθεσινές ανακοινώσεις της ΕΛΣΤΑΤ για την ανάπτυξη του Α΄τριμήνου, θα λέγαμε πως ο παρακάτω πίνακας είναι εξαιρετικά ενδιαφέρον και δείχνει την πορεία του ΑΕΠ ανά τρίμηνο από το 2019, όταν  επί της ουσίας είχε ξεκινούσε το ελληνικό δράμα.

 

 
 
 

 

Χρηματιστηριακό Ημερολόγιο

 

05 Ιουν 2018 12:00: ΠΑΠΑΠΑΝΑΓΙΩΤΟΥ ΑΒΕΕΑ - ΔΡΟΜΕΑΣ (ΔΡΟΜΕ) Γενική Συνέλευση, ΕΔΡΑ ΕΤΑΙΡΕΙΑΣ ΒΙ.ΠΕ. ΣΕΡΡΩΝ Τ.Κ. 62121

05 Ιουν 2018 00:00: ΓΡ. ΣΑΡΑΝΤΗΣ Α.Β.Ε.Ε. (ΣΑΡ) Ημερομηνία Καταβολής Μερίσματος,

05 Ιουν 2018 12:00: SPACE HELLAS Α.Ε. (ΣΠΕΙΣ) Γενική Συνέλευση, Λ. ΜΕΣΟΓΕΙΩΝ 312, ΑΓ.ΠΑΡΑΣΚΕΥΗ 15341

05 Ιουν 2018 00:00: ΕΥΡΩΠΑΪΚΗ ΠΙΣΤΗ Α.Ε.Γ.Α. (ΕΥΠΙΚ) Ημερομηνία Καταβολής Μερίσματος,

05 Ιουν 2018 00:00: ΠΛΑΙΣΙΟ COMPUTERS Α.Ε.Β.Ε. (ΠΛΑΙΣ) Ημερομηνία Καταβολής Μερίσματος,

05 Ιουν 2018 12:00: MERMEREN KOMBINAT A.D. PRILEP (ΜΕΡΚΟ) Γενική Συνέλευση, PRILEP

05 Ιουν 2018 00:00: INTERCONTINENTAL INTERNATIONAL Α.Ε.Ε.Α.Π. (ΙΝΤΕΡΚΟ) Αποκοπή Μερίσματος,

05 Ιουν 2018 00:00: PROFILE A.E.B.E. ΠΛΗΡΟΦΟΡΙΚΗΣ (ΠΡΟΦ) Ημερομηνία Καταβολής Μερίσματος,

05 Ιουν 2018 00:00: ΕΛΛΗΝΙΚΑ ΧΡΗΜΑΤΙΣΤΗΡΙΑ - ΧΡΗΜΑΤΙΣΤΗΡΙΟ ΑΘΗΝΩΝ ΑΝΩΝΥΜΗ ΕΤΑΙΡΕΙΑ ΣΥΜΜΕΤΟΧΩΝ(ΕΧΑΕ) Αποκοπή Μερίσματος,

 

 

Συναλλαγές σε Πακέτα

 

4 Ιουν 2018 Stocks

Εταιρεία

Ώρα

Αριθμός χρεογράφων

Τιμή χρεογράφου

Αξία συναλλαγής

ΤΡΑΠΕΖΑ ΠΕΙΡΑΙΩΣ Α.Ε.

16:04:37

250.000

2,782

695.500

ΟΤΕ Α.Ε.

14:49:56

4.982

10,1383

50.509,0106

ΕΘΝΙΚΗ ΤΡΑΠΕΖΑ ΤΗΣ ΕΛΛΑΔΟΣ Α.Ε.

14:48:35

101

0,2628

26,5428

ΕΛΛΗΝΙΚΑ ΠΕΤΡΕΛΑΙΑ Α.Ε.

13:36:01

350.000

7,36

2.576.000

ΟΡΓΑΝΙΣΜΟΣ ΛΙΜΕΝΟΣ ΠΕΙΡΑΙΩΣ Α.Ε.

12:54:37

20.000

16,3

326.000

 
 

Γνωστοποιήσεις Συναλλαγών στο Χ.Α.

 

01/06/18

ΤΡΑΠΕΖΑ EUROBANK ERGASIAS Α.Ε.  [ ΕΥΡΩΒ ]

Συναλλαγές

Λόγος υποβολής

Ημ/νία

Α/Π

Είδος

Αγορά

Πρόσωπο που ασκεί Διευθ. Καθήκοντα

Συναλλασσόμενος

Μέσος όρος τιμής μονάδας

Τεμάχια

Αξία (€)

Ονοματεπώνυμο

Πατρώνυμο

Ιδιότητα

Πλήθος: 1
   

B

1 Ιουν 2018

Α

Παράγωγο

ΠΑΡΑΓΩΓΩΝ ΧΑ

ΑΡΧΟΝΤΙΔΗΣ ΔΗΜΟΣΘΕΝΗΣ

ΑΡΧΟΝΤΙΔΗΣ ΙΩΑΝΝΗΣ

Γεν. Διευθυντής

Συνδεόμενο Νομικό Πρόσωπο

96,06

761

73.097,9

Πλήθος: 2
   

B

1 Ιουν 2018

Α

Μετοχή

ΑΞΙΩΝ ΧΑ

ΑΡΧΟΝΤΙΔΗΣ ΔΗΜΟΣΘΕΝΗΣ

ΑΡΧΟΝΤΙΔΗΣ ΙΩΑΝΝΗΣ

Γεν. Διευθυντής

Συνδεόμενο Νομικό Πρόσωπο

0,93

60.055

55.709,26

Πλήθος: 1
   

B

1 Ιουν 2018

Π

Παράγωγο

ΠΑΡΑΓΩΓΩΝ ΧΑ

ΑΡΧΟΝΤΙΔΗΣ ΔΗΜΟΣΘΕΝΗΣ

ΑΡΧΟΝΤΙΔΗΣ ΙΩΑΝΝΗΣ

Γεν. Διευθυντής

Συνδεόμενο Νομικό Πρόσωπο

89,50

230

20.585

Πλήθος: 2
   

B

1 Ιουν 2018

Π

Μετοχή

ΑΞΙΩΝ ΧΑ

ΑΡΧΟΝΤΙΔΗΣ ΔΗΜΟΣΘΕΝΗΣ

ΑΡΧΟΝΤΙΔΗΣ ΙΩΑΝΝΗΣ

Γεν. Διευθυντής

Συνδεόμενο Νομικό Πρόσωπο

0,97

106.105

102.466,14

 

Λόγος υποβολής
A. ΠΡΟΣΩΠΟ ΠΟΥ ΑΣΚΕΙ ΔΙΕΥΘΥΝΤΙΚΑ ΚΑΘΗΚΟΝΤΑ
B. ΠΡΟΣΩΠΟ ΠΟΥ ΕΧΕΙ ΣΤΕΝΟ ΔΕΣΜΟ ΜΕ ΠΡΟΣΩΠΟ ΠΟΥ ΑΣΚΕΙ ΔΙΕΥΘΥΝΤΙΚΑ ΚΑΘΗΚΟΝΤΑ

A/Π (Φύση της Συναλλαγής)

Α. Αγορά / Απόκτηση
Π. Πώληση / Διάθεση

Παρ. (Παρατηρήσεις)

1.     Απόκτηση, διάθεση, ανοικτή πώληση, εγγραφή ή ανταλλαγή

2.     Αποδοχή ή άσκηση δικαιώματος προαίρεσης μετοχών, περιλαμβανομένων των δικαιωμάτων προαίρεσης μετοχών που χορηγούνται σε διευθυντικά στελέχη ή εργαζομένους και τη διάθεση μετοχών που προκύπτουν από την άσκηση δικαιώματος προαίρεσης μετοχών

3.     Ανάληψη ή άσκηση ανταλλαγής μετοχών

4.     Συναλλαγές σε παράγωγα ή συνδεόμενα με αυτά, συμπεριλαμβανομένων των συναλλαγών που διευθετούνται σε μετρητά

5.     Σύναψη σύμβασης επί διαφοράς για χρηματοπιστωτικό μέσο του ενδιαφερόμενου εκδότη ή για δικαιώματα εκπομπής ή εκπλειστηριαζόμενα προϊόντα που βασίζονται σε αυτά

6.     Αγορά, πώληση ή άσκηση δικαιωμάτων, μεταξύ άλλων και δικαιώματα αγοράς και πώλησης, και τίτλους επιλογής (warrants)

7.     Εγγραφή σε αύξηση κεφαλαίου ή έκδοση χρεωστικών τίτλων

8.     Συναλλαγές σε παράγωγα και χρηματοπιστωτικά μέσα που συνδέονται με χρεωστικούς τίτλους του εν λόγω εκδότη, περιλαμβανομένων των συμφωνιών ανταλλαγής κινδύνου αθέτησης

9.     Υπό αίρεση συναλλαγές με την επέλευση των όρων και της πραγματικής εκτέλεσης των συναλλαγών

10.   Αυτόματη ή μη αυτόματη μετατροπή ενός χρηματοπιστωτικού μέσου σε άλλο χρηματοπιστωτικό μέσο, συμπεριλαμβανομένης της ανταλλαγής ομολόγων μετατρέψιμων σε μετοχές

11.   Χορήγηση ή είσπραξη χρηματικών ή άλλων δωρεών και κληρονομιών

12.   Συναλλαγές σε προϊόντα βασισμένα σε δείκτη, σε δέσμες προϊόντων και παράγωγα προϊόντα, στον βαθμό που απαιτείται από το άρθρο 19 του κανονισμού (ΕΕ) αριθ. 596/2014

13.   Συναλλαγές σε μετοχές ή μερίδια αμοιβαίων κεφαλαίων, συμπεριλαμβανομένων των οργανισμών εναλλακτικών επενδύσεων (ΟΕΕ) που αναφέρονται στο άρθρο 1 της οδηγίας 2011/61/ΕΕ και του Συμβουλίου (1), εφόσον απαιτείται από το άρθρο 19 του κανονισμού (ΕΕ) αριθ. 596/2014

14.   Συναλλαγές που εκτελούνται από διαχειριστή ενός ΟΕΕ στις οποίες το πρόσωπο που ασκεί διευθυντικά καθήκοντα ή ένα πρόσωπο που έχει στενούς δεσμούς με αυτό έχει επενδύσει, εφόσον απαιτείται από το άρθρο 19 του κανονισμού (ΕΕ) αριθ. 596/2014

15.   Συναλλαγές που εκτελούνται από τρίτους στο πλαίσιο ατομικού χαρτοφυλακίου ή εντολής διαχείρισης περιουσιακών στοιχείων για λογαριασμό ή προς όφελος προσώπου που ασκεί διευθυντικά καθήκοντα ή προσώπου που έχει στενούς δεσμούς με αυτό

16.   Δανειοληψία ή δανειοδοσία μετοχών ή χρεωστικών τίτλων του εκδότη ή παραγώγων ή άλλων χρηματοπιστωτικών μέσων που συνδέονται με αυτά

17.   Ενεχυρίαση ή δανεισμός χρηματοπιστωτικών μέσων

18.   Συναλλαγές που πραγματοποιούνται στο πλαίσιο ασφαλιστηρίου συμβολαίου ζωής

 

Kάντε Trading σε ελληνικές & ξένες μετοχές μέσω της Πλατφόρμας Συναλλαγών με την οποία το GFF συνεργάζεται και κερδίστε bonus εγγραφής (Κάντε Click και Κατεβάστε την μοναδική πλατφόρμα συναλλαγών, χωρίς καμία οικονομική υπορέωση, περιλαμβάνει και λογαριασμό "επίδειξης" - Demo).

Λήψη τώρα!!

 

Τα όσα αναγράφονται σε καμία περίπτωση δεν αποτελούν σύσταση για αγορά/πώληση ή διακράτηση μετοχών ή άλλων σύνθετων προϊόντων (πχ. CFD) που συνδέονται με τους συγκεκριμένους τίτλους που αναφέρονται.

 

Παλαιότερα Σχόλια

Plus500

 © 2016-2017 Greek Finance Forum

Αποποίηση Ευθύνης....